预充电电路及预充电电阻选择
浏览次数: 10 作者:Jason Zeng 发布时间:2025-11-13 来源: 地点
功率电阻器用于承受和消耗大量功率,它们由高导热率的材料制成,以实现高效冷却。它们通常设计为耦合到散热器,以便能够消耗大量功率。
对于预充电电阻来说,常见的类型就是下图中的两种,都是常见的金属铝壳电阻;这两个电阻属于功率电阻中的线绕电阻。

线绕电阻器通常缠绕在棒状陶瓷绝缘基板或其他绝缘基板上。电阻丝为镍铬或锰铜等合金材料,电阻丝两端连接有固定销。电阻丝通常涂有不导电涂料,外围采用不同的封装材料(如铝壳封装)进行封装。铝壳封装的绕阻目前很常见,散热能力很强,一般适合大功率应用。还有一种大家熟悉的陶瓷封装绕线电阻,我们更习惯称其为水泥电阻,但前者用得并不多。

预充电电路框图
上电流程:
首先,K-主负极接触器闭合,然后Kp预充电接触器闭合。当电容C与电池两端电压差保持<10V(推荐值)时,K+主正极接触器闭合,后续Kp预充电接触器打开;上电过程完成。

一般情况下,预充电需要在300ms到500ms内完成。在如此短的时间内,电流通过电阻丝或电阻体所产生的大量热量无法及时被电阻器的骨架吸收,因此电阻丝或电阻体本身必须承受大部分脉冲能量。因此,我们需要首先计算启动时的脉冲能量,然后选择合适的电阻方案。
对于单个脉冲,能量计算如下:

如果是连续脉冲,当脉冲的间隔时间很短(如小于1s)时,实际应用中耗散的能量所占比例较小,我们一般可以采用线性累加的方式来计算总脉冲能量。

总能量=单脉冲能量x连续脉冲数然后确定预充电电阻的阻值:
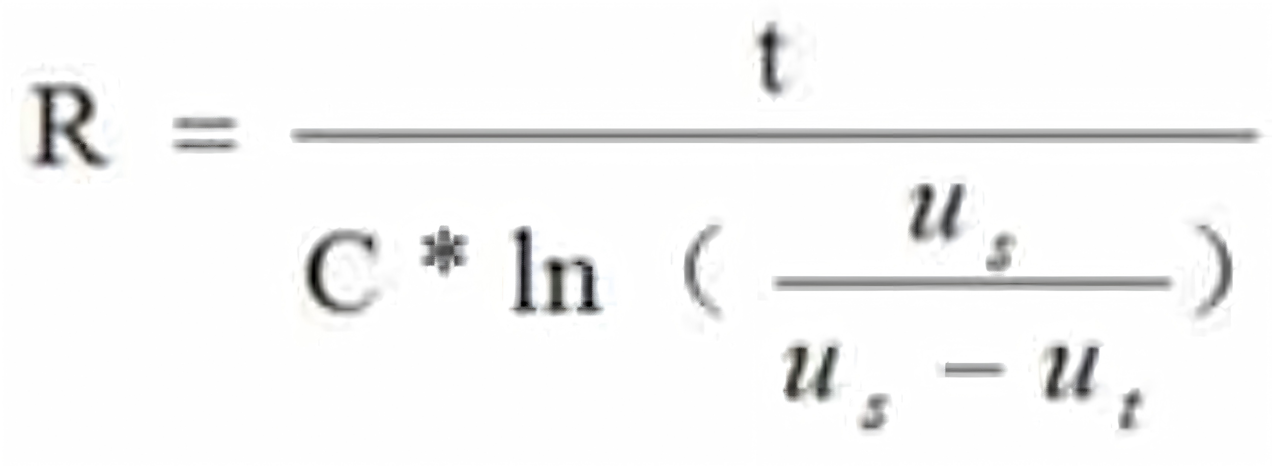
T = R*C * Ln[(Us - U0)/(Us - Ut)]
在哪里:
T=预充电时间
R= 预充电电阻 C= 负载电容
Us=电池组电压
U0=负载端闭合高压前电压(可表示为0)
Ut=预充电结束时的负载端电压
一般来说,Ut选为总电压Us的90%或95%,即认为是90%,因此公式可表示为:
T = R*C * Ln10
那么 R = T/(C * Ln10)
接下来举一个预充电电阻的具体例子:假设在车辆中,电池电压Us=400V,负载电容C=1000uF,所需充电时间为500ms,即500ms后,电容充电优90%*Us,即Ut=360V,则计算出预充电电阻R的阻值。根据前面的公式,可以直接得到R=0.5/(0.001*ln10)=217Ω。
后续将电阻上方的电压波形转换为方波,其中瞬时电容相当于短路,所以Vp=400V;那么预充电电阻的峰值功率=Vp*Vp/R=400*400/217=737W,如果按照0.5倍降额,那么需要的电阻单脉冲峰值功率为737*2=1474W。
然后计算出矩形波的时间,通过下面的公式,因为电阻和电容两端的电压之和等于Us,所以电容两端的电压为Ut=(1-0.37)Us=0.63*Us,所以τ
=217*0.001*ln(2.7)=0.216s,矩形脉冲宽度t1=0.108s。
后续根据得到的脉冲宽度和单脉冲峰值功率,与厂家的曲线进行比较,即可判断选型是否合理。
