Views: 10 Author: Jason Zeng Publish Time: 2025-11-13 Origin: Site
Power resistors are used to withstand and consume large amounts of power, and they are made of materials with high thermal conductivity for efficient cooling. They are usually designed to be coupled to a heat sink in order to be able to consume a large amount of power.
For precharged resistors, common types are the two in the figure below, both common metal aluminum shell resistors; These two resistors belong to the wire-wound resistors in power resistors.

Wire wound resistors are usually wound on a rod-like ceramic insulating substrate or other insulating substrates. The resistance wire is an alloy material such as nickel chromium or manganese copper, and the two ends of the resistance wire are connected with fixed pins. The resistance wire is usually coated with non-conductive paint, and the periphery is packaged with different packaging materials (such as aluminum shell packaging). The winding resistance of aluminum shell package is very common at present, and its heat dissipation ability is very strong, so it is generally suitable for high- power applications. There is also a familiar ceramic package winding resistance, we are more used to call it cement resistance, but not the former is used frequently.

Block Diagram of Pre-charging Circuit
Power-on Process:
First, the K-main negative contactor closes, then the Kp pre-charging contactor closes. When the voltage difference between the two ends of capacitor C and the battery remains <10V (recommended value), the K+ main positive contactor closes, and finally the Kp pre-charging contactor opens; the power-on process is completed.

Under normal circumstances, pre-charging is required to be completed within 300ms to 500ms. In such a short period of time, the large amount of heat generated by the current passing through the resistance wire or resistor body cannot be absorbed by the resistor's framework in time, so the resistance wire or resistor body itself has to bear most of the pulse energy. Therefore, we need to first calculate the pulse energy during startup, and then select an appropriate resistor solution.
For a single pulse, the energy calculation is as follows:

If it is a continuous pulse, when the interval time of the pulse is very short (such as less than 1s), the proportion of dissipated energy in practical application is small, we can generally use linear accumulation to calculate the total pulse energy.

Total energy = single pulse energy x number of consecutive pulses and then determine the resistance value of the pre-charged resistor:
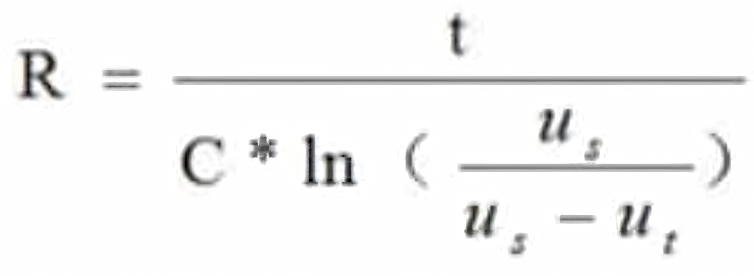
T = R*C * Ln[(Us - U0)/( Us - Ut)]
Where:
T= precharge time
R= precharge resistance C= load capacitance
Us= battery pack voltage
U0= Voltage before load end closed high voltage (can be expressed as 0)
Ut= load end voltage at the end of precharge
Generally speaking, Ut is selected as 90% or 95% of the total voltage Us, which is considered to be 90%, so the formula can be expressed as follows:
T = R*C * Ln10
then R = T/(C * Ln10)
Next, give a specific example of the precharge resistance: Assume that in the vehicle, the battery voltage is Us=400V, the load capacitance C=1000uF, the required charging time is 500ms, that is, after 500ms, the capacitor is charged to 90%*Us, that is, Ut=360V, then calculate the resistance value of the pre-charged resistance R. According to the previous formula, you can directly get R=0.5/(0.001*ln10)=217Ω.
Finally, the voltage waveform above the resistance is converted into a rectangular wave, where the instantaneous capacitance is equivalent to a short circuit, so Vp=400V; Then the peak power of the pre-charged resistance =Vp*Vp/R=400*400/217=737W, if according to 0.5 times to derate, then the required resistance monopulse peak power is 737*2=1474W.
Then calculate the time of the rectangular wave, through the following formula, because the sum of the voltage at both ends of the resistor and the capacitor is equal to Us, so the voltage at both ends of the capacitor is Ut= (1-0.37) Us=0.63*Us, so τ
=217*0.001*ln(2.7)=0.216s, rectangular pulse width t1=0.108s.
Finally, according to the obtained pulse width and single pulse peak power, compared with the manufacturer's curve, you can judge whether the selection is reasonable.
